经开区|最新数据来了!聊城市8月份商品住房信息公示!这几个数据很重要!( 二 )
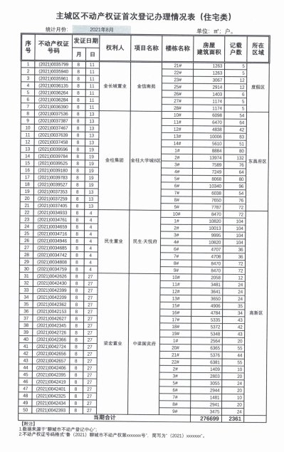
(1)东昌府区项目:办理14件,登记面积11.06万㎡,记载户数1024户,涉及1个项目、14幢楼栋;
(2)高新区项目:办理29件,登记面积15.38万㎡,记载户数1287户,涉及2个项目、29幢楼栋;
(3)度假区项目:办理7件,登记面积1.26万㎡,记载户数50户,涉及1个项目、7幢楼栋。

内容来源:聊城房产网
版权归原作者所有,如有违规侵权请联系我们。

【 经开区|最新数据来了!聊城市8月份商品住房信息公示!这几个数据很重要!】点它,分享点赞在看都在这里
推荐阅读
- 春节|如果能重来,阳台一定“9不装”,并非迷信,是过来人的经验教训
- 混淆感|146㎡北欧经典白色三居室,诠释令人心醉的优雅
- 美好生活|欧哲门窗副总经理周志军:「拓」不忘初心同心同德,成为美好生活空间首选品牌
- 集体经济|征拆赔款找,查了才知有这么“多”…
- 购房置业|经济学家:老百姓60%的钱花在房子上很危险!网友:说得很对
- 郑州|买房月供曝光!郑州最新平均工资8694元,撑得起房贷么?
- 房地产市场|新政之下,有三类房子会成为“香饽饽”,懂行的人已经开始下手了
- 瓷砖|远嫁十年回娘家,走到家门口房子已经旧貌换新颜了,都快不认识了
- 装修|总结我的新家装修完就后悔的37条防坑经验!记住少走弯路!
- 征地补偿|征地补偿有调整!长沙最新征地补偿标准公布
