
文章图片

文章图片

文章图片

文章图片
克雷西 发自 凹非寺
量子位 | 公众号 QbitAI
AI已经能够自主思考并证明新的数学规律了?
OpenAI研究人员表示 , 自己喂给GPT-5 Pro一篇论文 , 结果模型读完之后得到了新的结论 。
在凸优化问题当中 , GPT-5 Pro针对一个边界问题 , 给出了比原文更加精确的阈值和相应证明 。
消息立即引发全网热议 , 不到半天推文就有230多万次阅读 。
不过这位研究人员并没有将GPT-5 Pro的研究成果发表成论文 , 理由是被人类抢先了——
这篇论文后来又更新了一个版本 , 给出了新的边界 , 这个新的边界又把GPT-5 Pro反超了 。
但是 , GPT-5 Pro的证明思路与此并不相同 , 说明它已经具备了独立探索的能力 , 所以人类的反攻也不影响这是GPT-5 Pro的一个新突破 。
OpenAI总裁Brockman甚至将这一成果称之为“生命迹象” 。
凸优化曲线是凸的吗?喂给GPT-5 Pro的这篇另论文 , 研究的是凸优化(convex optimization)问题 , 凸优化是数学最优化的一个子领域 , 研究定义于凸集中的凸函数最小化的问题 。
具体来说 , 这篇论文题目为《凸优化曲线是凸的吗?》 , 研究了这样的一个问题:
当使用梯度下降算法优化光滑凸函数时 , 其产生的优化曲线(optimization curve)是否是凸的?
这里的“优化曲线”指的是函数值f(x_n)随迭代次数n变化的曲线 。 如果这条曲线是凸的 , 意味着优化速率(即相邻两次迭代的函数值下降量)是单调递减的 。
【GPT-5 Pro独立做数学研究,OpenAI总裁:这是生命迹象】
关于这个问题 , 论文的结论是优化曲线凸不凸 , 关键取决于步长(step size)的选择 , 具体包括如下几个关键点:
凸性保证区间:当步长η ∈ (0 1/L
时(L为平滑度) , 优化曲线保证是凸的; 非凸可能区间:当步长η ∈ (1.75/L 2/L)时 , 即使梯度下降仍单调收敛 , 优化曲线可能不是凸的; 梯度范数性质:对于整个收敛区间η ∈ (0 2/L
, 梯度范数序列||?f(x_n)||总是单调递减的; 二阶可导凸函数的梯度流凸性:对于凸且二阶连续可导的函数 , 梯度流的优化曲线总是凸的; 光滑凸函数的梯度流凸性:对于凸L-光滑函数(不要求二阶可导) , 梯度流的优化曲线总是凸的; 梯度流的梯度范数单调性:对于连续时间的梯度流 , 优化曲线总是凸的;关于第一个结论 , 证明的核心是证明序列{f(x_n) - f[(x_(n+1)
非递增 。
论文作者巧妙地引入辅助函数g_k(t) , 将离散的迭代过程转化为连续函数的积分 , 利用凸函数的性质证明辅助函数的单调性 , 通过比较相邻两个辅助函数的大小关系 , 最终证明优化曲线的凸性 。
非凸可能区间部分则是构造一个分段函数(二次函数和线性函数的组合)作为反例实现证明 。
作者选择特定的初始点x_0 = -1.8 , 通过直接计算前三步迭代的函数值下降量 , 验证在该步长范围内 , 后面的下降量反而比前面大 , 违反了凸性要求 。
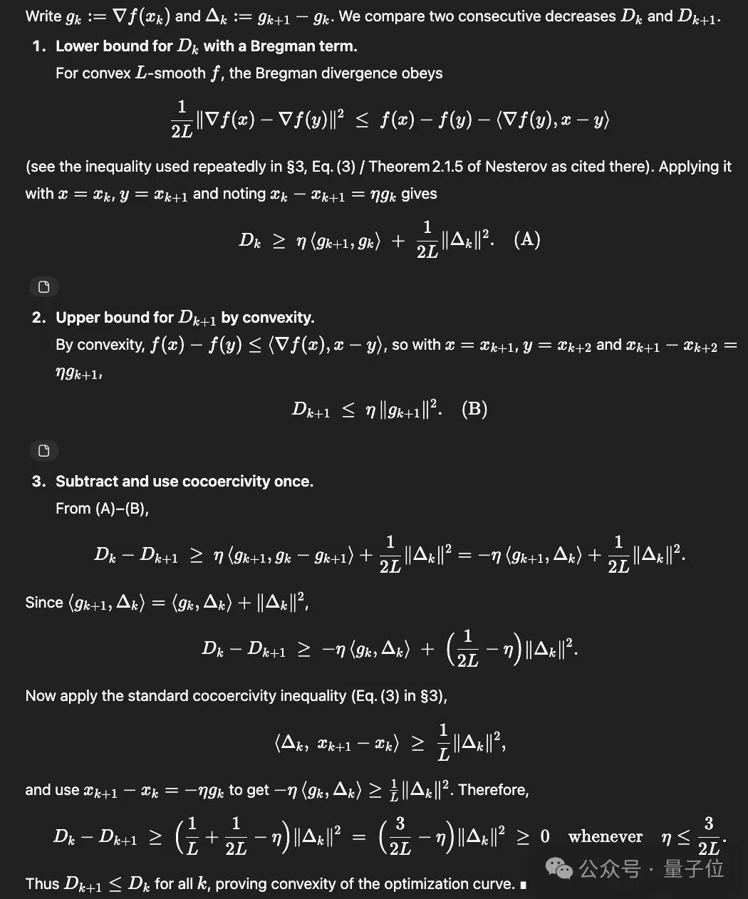
由于GPT-5 Pro的证明主要针对的是边界问题 , 后面四个结论的证明过程在这里就不详细介绍了 , 感兴趣的话可以阅读原论文 。
GPT-5 Pro给出新边界在论文的第一版中 , 作者分别证明了步长不大于1/L和大于1.75/L时的情况 , 但在(1/L 1.75/L
范围内则未有定论 。
GPT-5 Pro则是通过更精细的不等式技巧 , 用17分半的时间把1/L这个边界移动到了1.5/L 。
而人类检查证明过程的时间 , 是25分钟 , GPT-5 Pro读论文并进行证明的时间还要长 。
其核心思路与原论文相似 , 均是将优化曲线凸性问题转化为证明函数值下降量递减 。
但GPT-5 Pro巧妙运用了凸L-光滑函数的两个基本不等式——Bregman散度不等式(提供更紧的下界)和标准的共强制性(cocoercivity)不等式 。
通过这种巧妙的代数操作 , GPT-5 Pro成功将凸性条件进一步细化 。
再之后 , GPT-5 Pro的发现还未来得及发表 , 论文原作者就对论文进行了更新 , 作者新增了一名 , 关键是证明了1.75/L就是一个精确界限 , 之前未探索的区间实现了闭合 。
其思路是利用凸L-光滑函数的Bregman散度不等式 , 对三个点对(x_0x_1)、(x_1x_2)和(x_0x_2) 分别建立不等式 , 之后将三个不等式分别乘以不同权重后求和 , 并通过恒等式将复杂的梯度项组合化简 。
虽然GPT-5 Pro给出的证明最后被人类扳回一城 , 但是 , 其思路和过程与新版论文不同 。
也就是说 , GPT-5 Pro并不是发现了新论文才实现边界的精确化 , 而是确实具备了自主发现并证明数学规律的能力 。
参考链接:[1
https://x.com/SebastienBubeck/status/1958198661139009862[2
https://arxiv.org/abs/2503.10138v1[3
https://arxiv.org/abs/2503.10138v2
— 完 —
量子位 QbitAI
关注我们 , 第一时间获知前沿科技动态
推荐阅读
- 红米Note15 Pro+下狠手:卫星通信+IP69K防水,中端机有旗舰功能
- REDMI Note15 Pro系列定档,“天青蓝”外观公布
- iPhone 17 Pro 改用铝合金,可能是近几年最值得换新的苹果手机
- 低调的苹果,悄悄把 iPhone 17 Pro Max 打造成了“战甲”
- iPhone 17 Pro 降级,新设计实锤了
- 奥特曼首曝GPT-6,亲口承认GPT-5「搞砸了」,接入大脑读心,估值或飙破5000亿
- 产品力炸裂?红米Note15Pro+详细汇总,缝缝补补又是一年
- 突然发现,华为Mate70Pro全系降价了,背刺老用户?
- Pine64停产Pro手机转向RISC-V业务
- 16G+512G 起步!华为 Mate80 Pro 这波操作你能接受吗?
