
文章图片

LLM用得越久 , 速度越快!Emory大学提出SpeedupLLM框架 , 利用动态计算资源分配和记忆机制 , 使LLM在处理相似任务时推理成本降低56% , 准确率提升 , 为AI模型发展提供新思路 。
在人类的认知世界里 , 熟练意味着更快、更高效 。
比如看似复杂的魔方 , 只需训练几十次后便能「盲拧」;而面对一道做过几遍的数学题 , 我们往往能在脑海中迅速复现思路 , 几秒内作答 。
那 , 大语言模型也能这样吗?
Emory大学的研究者Bo Pan和Liang Zhao最近发布了一篇令人振奋的成果:大语言模型的性能 , 也和熟练度有关 , 确实能「越用越快」!
论文地址:https://arxiv.org/abs/2505.20643
论文首次系统性地验证了LLM在「有经验」的条件下 , 不仅性能不降 , 反而能大幅减少推理时间和计算资源 , 揭示了「AI也能熟能生巧」的全新范式 。
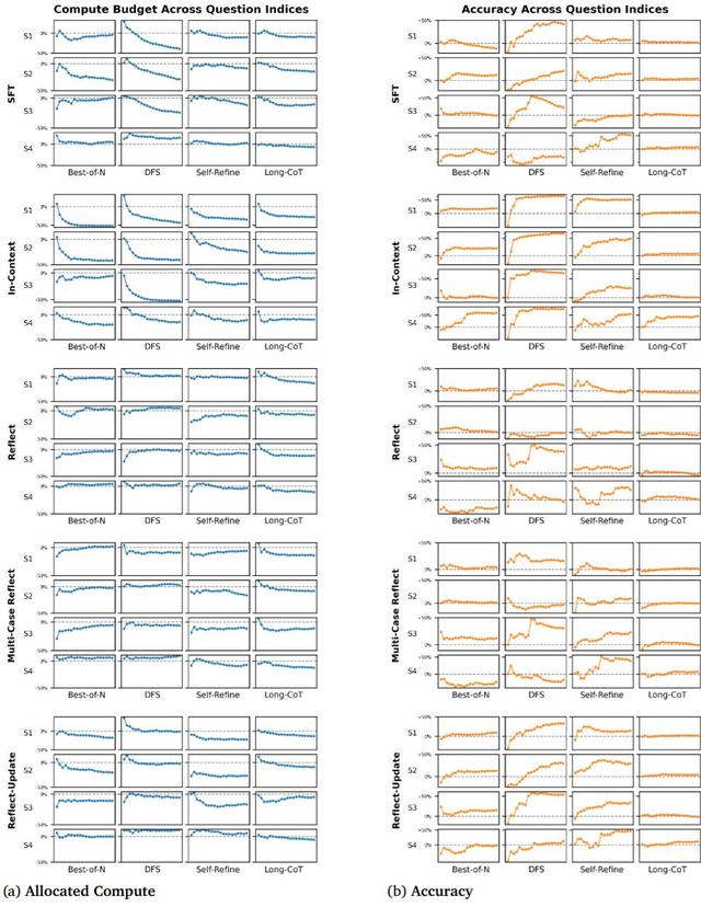
如何让LLM变熟练?为系统验证「熟练加速效应」 , 作者提出一个统一框架 , 构造并量化三类记忆机制下的「使用经验」 。
该框架由两部分组成 , 一是推理时动态计算资源分配 , 二是记忆机制 。
对于动态计算资源分配 , 该文章系统性将多种已有test-time scaling方法扩展成动态计算资源分配 , 从而允许LLM在熟练的问题上分配更少的计算资源 。
对于记忆机制 , 该框架引入记忆机制 , 从而实现通过过往经验加速当前推理 。
在多轮使用中 , 大模型是否能像人类一样「从经验中变快」?是否存在一种方法 , 能系统性地提升效率 , 而非单纯堆算力?
研究亮点1:用经验节省算力在任务重复或相似的推理过程中 , 研究者发现LLM通过利用以往经验(包括 memory cache、in-context memory 等) , 可以实现减少高达56%的推理预算 , 保持甚至提升准确率 。
这意味着模型在处理「熟悉」的任务时能少走很多弯路 , 不仅答得准 , 还答得快 。
研究亮点2:系统性大规模实验为了验证普适性 , 研究者考察了:
多种test-time scaling方法 , 包括Self-Refine、Best-of-N、Tree-of-Thoughts和当前最新的Long Chain-of-Thought(o1式思考)
多种记忆 , 包括监督学习(Supervised Fine-tuning)、检索过去经历、三种自我反思(Reflection)
多种问题相似度 , 包括LLM在1)完全相同、2)意思一样仅表述不同、3)题目一样 , 仅换数字、4)不同题目但需要相同知识回答 。
不同机制均表现出显著的推理加速 , 展示了这一现象的广泛性 。
实验结果在「重复问答」、「分步推理」等任务中 , 越是「重复」 , 模型推理越快 , 效果越好 。 而且 , 这种趋势随着经验积累更加明显 。
实验结果带来了以下八大关键发现:
发现一:LLM真的可以「越用越快」!
实验结果表明 , 在配备适当记忆机制和计算预算调控策略的前提下 , LLM在处理重复或相似任务时 , 平均可节省高达56%的推理开销 , 且这一行为在80组实验设置中有64组都出现了显著的加速现象 , 覆盖率高达80% , 验证了「经验式加速」具有普适性 。
发现二:越快≠越差 , 反而更准!
令人惊喜的是 , 推理成本的下降不仅没有牺牲准确率 , 反而普遍带来了准确率的提升 。 实验测得推理成本与准确率提升之间的Pearson相关系数为 -0.41(p=0.0002) , 这表明「更快」也意味着「更稳」「更准」 。
发现三:相似度越高 , 提速越明显
研究设计了4个相似度等级 , 从完全重复(S1)到结构变化大(S4) 。 结果发现 , S1和S2类问题下的加速最显著(分别节省16.0%和15.4%计算) , 而S4问题由于结构不同、记忆不具备直接迁移性 , 加速效果最弱 。
发现四:问题相似度低时 , 记忆机制可能反噬
当问题间差异过大时 , 记忆机制可能误导模型走错方向 , 导致推理成本反升、准确率反降 。 这种现象在部分S4设置中显著 , 提示我们记忆并非越多越好 , 而应「选得准、用得巧」 。
发现五:情节记忆反思记忆 , 更能加速推理
在不同记忆机制对比中 , 情节式记忆(如SFT和In-Context)在推理加速上表现更佳 。 例如In-Context平均节省27.4%计算 , 而反思类记忆仅为3.6%~8.8% 。 这与心理学研究一致:人类在形成熟练技能时 , 最初依赖的是具体实例的情节记忆 。
发现六:In-Context比SFT更高效
在低样本(1~3轮)场景下 , In-Context学习相比SFT更具泛化能力、更少过拟合 , 尤其在本研究的推理速度上 , In-Context 更快、更稳、更准 , 展现了非参数记忆的强大即时适应力 。
发现七:文本记忆易「触顶」 , 参数记忆可持续提速
反思类与In-Context等文本记忆方法存在上下文窗口的「瓶颈」 , 在加入3个案例后效果逐渐饱和;相比之下 , SFT通过权重更新记忆内容 , 不受窗口限制 , 推理速度随经验持续提升 。
发现八:越「泛化」的反思 , 提速越明显
三种反思机制中 , Reflect-Update表现最佳 。 原因在于它能持续总结抽象规则 , 而不是堆积具体数字或案例 。 这种「泛化性强」的反思更容易跨任务迁移、辅助加速 , 未来设计更好反思机制时值得关注 。
让LLM拥有「记忆力」和「熟练度」这项研究提出了一种值得重视的新范式:
推理效率不只是堆硬件 , 也能靠「学习历史」提升 。
在客服、搜索、问诊等反复场景中 , 部署「记忆型LLM」将带来:更低的响应延迟、更少的算力消耗、更强的适应性和个性化 。
这项研究不仅补足了现有推理加速研究的空白 , 更为构建「具备人类熟练性」的AI模型提供了新思路 。
参考资料:
【大模型“越用越快”,SpeedupLLM首次验证,大降56%推理预算】https://arxiv.org/abs/2505.20643
推荐阅读
- “订阅号”改名“公众号”,可现在谁还看微信公众号?
- 场景种草:为什么用户更愿意为“生活方式”买单?
- 活久见,居然有科学家在论文里“贿赂”AI
- 2025年国补后,“口碑绝佳”的4款直屏手机,16+512GB价“真香”
- “六边形战士”——iQOOZ9,256GB版跌至1169元!
- 余承东自嘲“不会营销”?这才是华为最狠的招!
- 16GB+1TB从4999降到2999元,价格“雪崩”的小屏旗舰,可以捡漏了
- 华为打响“价格战”!2K曲屏+昆仑玻璃+5500mAh,现已跌至4999元
- 2025国补后,“销量狂飙”的4款手机,怎么选都很香!
- 2025年国补后,三款中档产品可“闭眼入”,或是2000元预算的首选
