
文章图片

文章图片

文章图片

文章图片

文章图片

文章图片

文章图片

文章图片

文章图片
知识蒸馏(KD)是一种将大模型(教师)的知识迁移到小模型(学生)的技术 , 学生通过模仿教师预测分布 , 充分利用软标签信息 , 通常优于传统监督微调 , 已在图像分类、文本生成等任务及最新工作(如 DeepSeek-R1、Qwen-3)中得到验证 。 其核心在于分布匹配方式的选择 , 主流方法多用前向 KL 散度(FKLD)或反向 KL 散度(RKLD) , 但 FKLD 易导致输出过度平滑 , 难以聚焦关键类别 , RKLD 则使学生过度自信、降低多样性 。 实验证明 , 两者在多任务中表现有限 , 且目前缺乏系统方法揭示其深层问题 , 阻碍了更通用高效 KD 框架的发展 。 因此 , 一个自然的问题产生了:
究竟是什么潜在因素导致了 FKLD 和 RKLD 的次优表现?
为了解答这个问题 , 我们通过追踪对数质量比(LogR) , 分析不同散度在训练中如何影响学生分布的概率分配 。 进一步分析表明在温和假设下 , LogR 与损失函数对 logits 的梯度成正比 , 这使我们将问题转化为分析:不同散度算法如何影响 ∣LogR∣ 下降 。
- 标题:ABKD: Pursuing a Proper Allocation of the Probability Mass in Knowledge Distillation via α-β-Divergence
- 论文:https://arxiv.org/abs/2505.04560
- 代码:https://github.com/ghwang-s/abkd
在此框架下 , 我们识别出两种关键的「模式集中效应」:难度集中与置信集中 。
- 「难度集中」指的是更关注于在教师分布 p 与学生分布 q 之间误差较大的模式 。
- 「置信集中」指的是更关注于学生分布 q 本身高度自信的模式 。
进一步研究发现 , FKLD 和 RKLD 的局限性正源于对这两种集中效应的极端利用 。
- FKLD 集中效应较弱 , 对所有类别误差一视同仁 , 导致学生难以聚焦目标类别 , 易出现错误预测(见图 1d) 。
- RKLD 集中效应过强 , 兼顾高误差和高置信度类别 , 易陷入「平凡解」 , 即学生只关注目标类别 , 忽略教师分布的其他知识(见图 1e) 。
揭示这些局限性后 , 我们提出一个关键问题:我们能否找到一种通用且理论上有依据的方法 , 来平衡「难度集中」与「置信集中」效应?
方法
为此 , 我们引入了 α-β 散度 。
其广义统一了 FKLD、RKLD 及 Hellinger 距离等多种散度 。
正如下一节理论表明 , α-β 散度可通过调节 α 和 β 在 FKLD 与 RKLD 间平滑插值 , 实现对难度集中和置信集中效应的灵活权衡 。 这一机制带来更合理的概率分配 , 据此我们提出了通用蒸馏框架 ABKD , 形式为最小化:
基于 α-β 散度平衡难度集中和置信集中
ABKD 提供了一个统一空间权衡难度集中与置信集中 。 为解释这一点 , 回到对数质量比(LogR) 。 下列命题解释了超参数 α 和 β 如何影响 ∣LogR∣ 的减小 。
- 当 β→1 时 , 退化为 RKLD 的效应 。
- 当 β→0 时 , 退化为 FKLD 的效应 。
较大的 β 值会增强置信集中效应 , 使匹配性能更加专注于模型最有信心的类别(见图 1c) 。
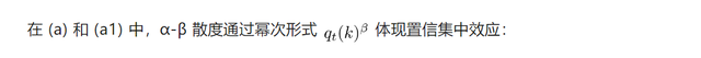
在 (b) 和 (b1) 中 , 使用以下方式衡量难度集中效应:
- 当 α→1 时 , 退化为 FKLD 的效应 。
- 当 α→0 时 , 退化为 RKLD 的效应 。
较小的 α 会放大难度集中效应 , 在困难类别上进行更强的误差惩罚 , 从而实现更激进的匹配(见图 1b) 。
通过调节 α 和 β , ABKD 实现对两种效应的精细平衡 , 避免了传统方法(FKLD/RKLD)的极端情况(见图 1g) 。
与 α-散度的比较
α-散度是 ABKD 框架的一个特例(当 β=1?α 时成立) 。
虽然它也能实现 FKLD(α→1)和 RKLD(α→0)之间的转换 , 但根据命题 4.2 , 为了减小 α , 必须相应地增大 β , 以满足 α+β=1 的限制条件 。 这种不必要的限制阻碍了其性能的进一步提升 , 具体如图 1(a) 和图 1(f) 所示 。
与WSD的比较
另一种方案是对 FKLD 和 RKLD 取加权和(WSD):
不幸的是 , 这种组合度量会过度强调 p 和 q 中概率较小的模式 。 当 q(k)≈0p(k)>0 或 p(k)≈0q(k)>0 时 , 有:
因此 , 算法必须关注极端情况以最小化目标函数 , 导致概率分配不合理 。 此外这种情况下梯度范数也会过度增长 , 导致参数更新中可能含有噪声 , 破坏优化稳定性 。
最后一种方法是使用 Jensen-Shannon 散度:
其中 m=(p+q)/2 。 它的缺点是当分布 p 和 q 相距较远时(这是训练初期的常见情况) , 会出现梯度消失 , 阻碍模型收敛 。
实验
自然语言任务
我们在五个指令跟随基准上评估方法 , 使用 ROUGE-L 指标 , 对比了 SFT、FKLD、GKD 和 DISTILLM 等方法 。
实验结果表明仅修改蒸馏目标 , ABKD 在不同数据集上均优于或匹配 FKLD、SFT 。 对比基于 SGO 的方法(如 GKD、DISTILLM)效果提升明显 , ABKD 在不公平对比下依然表现优越 。
- 损失函数影响
视觉任务
在 12 个常用图像识别数据集上进行实验 , 对比方法比较了多种先进蒸馏方法:KD、DKD、LSD 和 TTM 等 。
结果表明 ABKD 能根据不同教师-学生组合自动选择合适的蒸馏目标 。 此外 ABKD 可作为简单的插件工具 , 优化现有方法的损失函数 , 带来额外性能提升 。
敏感性分析
α 对难度集中的影响:图 6(a)(b) 展示了不同 α 下的训练表现 。 在 CIFAR-100 中 , 较小 α 提升有限;在 Dolly 等大输出空间任务中 , 适当减小 α 有助于避免陷入局部最优 。
β 对置信集中的影响:图 6(c)(d) 显示了 β 对输出分布的 Shannon 熵和 Self-BLEU 的影响 。 较小 β 使模型更关注低置信度类别 , 提升输出分布的平滑性和多样性(熵更高 , Self-BLEU 更低) 。
结语
【追求概率质量的帕累托最优:广义α-β散度引导知识蒸馏框架ABKD】本文指出 , 知识蒸馏的核心在于平衡「难度集中」和「置信集中」两种效应 , 而传统 FKLD 和 RKLD 只覆盖两个极端 , 导致概率分配不合理 。 为此 , 我们提出基于 α-β 散度的 ABKD 框架 , 统一并推广了现有方法 , 实现两种效应的灵活权衡 。 理论与大量实验均验证了 ABKD 的有效性 。
推荐阅读
- 3匹空调多少千瓦?3匹空调哪个牌子质量好又省电?不懂的建议先看看
- Redmi K90、小米手环10曝光汇总 大概率涨价?
- 低端显卡登上AI的大船!6GB显存就能生成高质量视频
- 可长可短的手机镜头来了,华为Pura80 Ultra大概率搭载
- 读DAMA数据管理知识体系指南41数据质量活动
- 颠覆显卡,AI 硬件未来发展方向之二:大概率准确替代准确
- 多个用户报告Galaxy Buds 3 Pro充电问题,指出潜在质量控制问题
- 我问了deepseek“活着的意义就是追求快乐”,它的答案震惊到了我
- 音频爱好者的终极追求:揭开“天碟”的神秘面纱
- 高质量月更不间断!ColorOS水印大师功能让照片质感再上一个level
