补贴|老房子加装电梯再出“新方案”?“共享电梯”来了,不需要再争了
在如今寸土寸金寸光阴的时代,想要购买一套属于自己的房子是多么困难的一件事,哪怕是将多年的工资全投进去,后面的一段岁月也需要为了还房贷而奋斗。因此,不少刚需购房者只能退而求其次,不奢求高端大气上档次的新建楼房,而是将目光转移向同样是中心区,却是建造多年的老房子。
实际上,有这类想法的人不在少数,毕竟在购买预算不足的情况下,为了早点成家立业,老房子确实是一个很好的选择,然而老房子也有老房子的缺点,先不提需要加固装修这一点,单单是没有电梯,就为以后上下楼的生活带来了诸多不便。

对此,其实国家早就给出了解决方案,那便是旧城改造政策,简称旧改。
旧改是指局部或整体地、有步骤地改造和更新老城市的全部物质生活环境,以便根本改善其劳动、生活服务和休息等条件。
且按照国家规划,2000年以前建造的老房子都属于旧城改造范围。项目包括外墙改善、楼梯维护、光纤到户、公共水电改造、天然气消防等。其中,最令人期待的正是在老房子上加装电梯的“新政策”。不仅解决了老房子加固装修问题,同时也设置了电梯,旧改过后房价上涨自然也不用说!

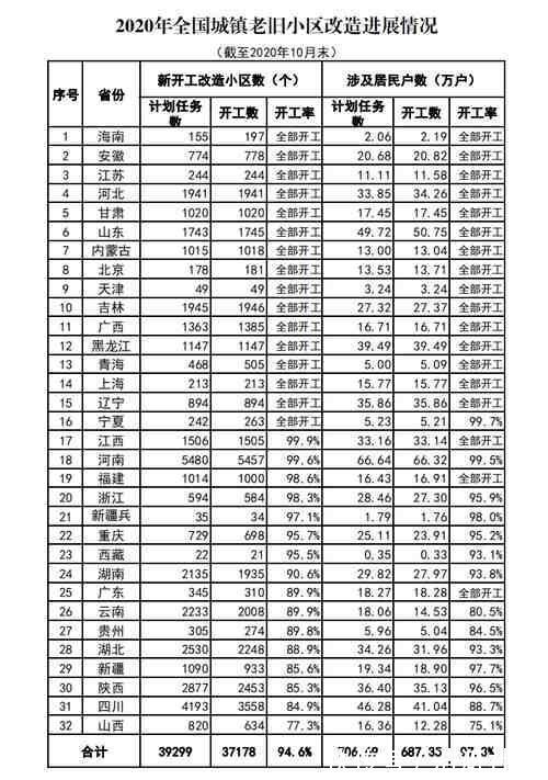
近日,住房和城乡建设部公布了2020年 1—10月份全国城镇老旧小区改造进展情况。
根据各地上报数据,2020年1—10月份,全国新开工改造城镇老旧小区3.7万个,涉及居民687.35万户。新开工改造小区数已经完成年度计划任务的94.6%。
其中,海南、安徽、江苏、河北、甘肃、山东、内蒙古、北京、天津、吉林、广西、黑龙江、青海、上海、辽宁、宁夏等16省份已全部开工。

从以上数据上看,旧改的步伐正在有条不紊地进行着,但在具体实施过程中,加装电梯却是出现了一些问题。例如,一些一楼的住户不同意安装电梯,认为加装电梯自己用不上,还会损害自身的利益。
原因有很多,其中争议性最多的可分为以下几个点:
1.公摊面积

原来,如今的老房子在当初建造之时,根本就没有考虑过预留加装电梯的空间,现在如果想装电梯,只能利用公摊面积,而这对于不需要用到电梯的一楼、二楼而言,无异于侵占了他们的利益;
2.安全问题

与第一点相同,建造之初根本就没有预留加装电梯的空间,现在突然塞一个电梯进去,大楼本身是否会受到影响,同样是部分住户反对的一个点;其次,就算大楼塞得下,旧改范围内的大楼一般都“年岁已高”,20年老房子的结构是否能承受得住电梯的频繁使用,这也无从考证。
3.底层贬值
电梯一旦真正安装,一楼的价格势必受到影响,甚至直接贬值也不一定。要知道,在楼梯房的时代,1-2层的房价可不便宜,当初购买底层房子的也正是因为其便利性,就算贵于高层房子价格的10%左右也无所谓。

而现在一旦安装了电梯,先不提高层房价上涨,那是高层的利益,底层管不着;但是如果是损及底层利益而惠及高层,那就不同了。毕竟,安装电梯会影响到底层采光及安装后所带来的噪音,从而导致房屋贬值,市场价格将下降6%-13%,这部分价差应由谁承担?
推荐阅读
- 房价|买房“七字真言”:买边、买中、不买三,很难买到差房子
- 小两居|不顾反对买76㎡老房,阳台改餐厅,搭建露台多间屋,白赚20平
- 阳台|买房别再买这种阳台凸起来的房子,白送平方也别要,聪明人都知道
- 商品房|现在的房子都建二三十层高,将来房龄到了,老房子该怎么处理
- 公摊面积|房企HR老总:两轮裁员还不够?房企该咋求生?
- 所得款|房价不会再大涨,房子还值得买吗?答案是肯定的
- 入住|新房入住半年,看到这12个地方就窝火,老婆罚我写万字装修检讨书
- 无纺布|墙漆、墙纸、墙布哪个好?听完老师傅的话,庆幸选对了
- 淋浴间|住范儿真实案例 篇三十九:这个50㎡老破小厉害了!靠20㎡收纳和四分离卫生间逆袭!
- 兄妹俩|日本一主妇,晒100多㎡房子治愈无数人没有客厅和电视,却是家居界的教科书
