存量|安宁市现有存量住宅用地3033亩最早供地项目动工8年未竣工
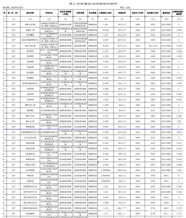
元旦收假首个工作日,安宁市就2021年度存量住宅用地用地进行了公示,截止去年12月末,安宁全市共有存量住宅用地39宗,总面积202.1950公顷、约合3032.93亩。

安宁市
其中,未动工建设用地9宗,面积合计35.6564公顷、约合534.85亩;已动工未竣工建设用地30宗,面积合计166.5386公顷、约合2498.08亩;未销售房屋土地面积69.0172公顷、约合1036.61亩。
根据公示数据,安宁市39宗存量住宅用地绝大部分位于安宁主城区,安宁主城现有存量住宅用地27宗,面积合计112.0844公顷、约合1681.27亩;其余12宗均位于安宁市太平新城,面积合计90.1106公顷、约合1351.66亩。

安宁市
按照各项目的动工实施周期来看,所有约定于2022年之前动工建设的住宅用地项目均已启动实施推进,其中还不乏安宁俊发城、创佳墅府、金色年华三个约定今年3-4月动工的项目,也已经提前启动实施。
不过,在约定竣工时间方面,包括温泉山谷、东湖世家、吾悦华府等在内的13宗住宅项目用地未按约定时间竣工建成。其中,温泉山谷六期、林溪谷一期、罗白馨苑、安宁金方欢乐里四个项目的约定的竣工时间均在2021年之前;其余未按约定时间竣工的项目,也未能兑现2021年的竣工时间约定。

温泉山谷
值得注意的是,约定竣工时间延后最久的温泉山谷六期项目用地,已延期竣工超过5年。按照项目约定的开竣工时间要求,温泉山谷六期用地于2013年12月4日完成供地,约定2014年12月31日开工,整体工程周期2年,原计划2016年12月31日竣工,而项目公示的建设状态仍为“已动工未竣工”,虽然项目目前已无“未销售房屋面积”,但这似乎预示着供地8年、启动建设7年,且已完成销售的温泉山谷六期,至今仍为正式竣工。
同属温泉山谷项目的健康管理中心及七期用地部分,同样未按约定时间于去年12月28日实现竣工,且温泉山谷七期还有7.9108公顷、约118.67亩用地的房屋未完成销售。

此外,用地面积最大的林溪谷一期,以及位于安宁主城核心的罗白馨苑,竣工延期均已超过3年。
【 存量|安宁市现有存量住宅用地3033亩最早供地项目动工8年未竣工】两个项目分别于2015年5月和12月完成供地,约定次年5-6月开工建设。其中,林溪谷一期由于用地面积较大,达18.9394公顷、约合284.10亩,项目实施周期为3年,原计划2019年4月10日竣工;罗白馨苑整体工期为两年半,原计划2018年12月30日竣工,但两项目目前公示的建设状态均为“已动工未竣工”,且林溪谷一期仍有3.9246公顷、约合58.87亩用地的房屋未完成销售。
附表:安宁市存量住宅用地项目清单

推荐阅读
- 五星街道|4个中风险区降级,西安现有高中风险区1+17个
- 南京市住房保障和房产局|“一房一码”,南京出台存量房核验新规 今年2月1日起正式实施
- 中国房地产|中国现有的房屋早已够人居住的了,为什么房价还在一直涨?
- 霞浦|16个项目,存量近90公顷,快看2022年霞浦哪些小区有房卖
- 人才房|买普通商品房、人才房还是三限房?存量住宅呈现多样化!
- 装修|卫生间装修时,不要忽视4个小地方,入住之后就会发现有多重要
- 存量|10589元/㎡!济宁最新商品住宅成交均价出炉
- 仲恺高新技术开发区管理委员会|73.7万平!32个项目!仲恺存量住宅项目出炉
- 公众号|宁德市市本级2021年第四季度存量住宅用地项目清单
- 国办|国办:在依法自愿有偿前提下允许将存量集体建设用地依据规划改变用途入市交易
